中断
中断与中断系统
中断的概念
[!note]
在程序运行过程中出现某紧急事件,必须中止当前正在运行的程序,转去处理这个事件,然后再恢复原来运行的程序,这一过程称为中断.
- 中断系统:中断装置(硬件),中断处理程序(软件)
中断装置
发现并响应中断的硬件机构
识别中断源,当有多个中断源时,按紧迫程度排队;
保存现场;
引出中断处理程序。
中断响应和处理的过程

中断源:引起中断的事件。
中断控制器:CPU中的一个控制部件,包括中断控制逻辑线路和中断寄存器
中断寄存器:保存与中断事件相关信息的寄存器。
中断字:中断寄存器的内容。
[!tip]
中断类型
- 强迫性中断
- 自愿性中断
中断向量
中断处理程序的运行环境与入口地址(PSW,PC)
- 每类中断事件有一个中断向量,
- 中断向量的存放位置是由硬件规定的,
- 中断向量的内容是OS在系统初始化时设置好的。
中断向量mode应为系统态
中断嵌套与系统栈
中断嵌套
[!note]
系统在处理一个中断事件的过程中又响应了新的中断,称系统发生了中断嵌套
- 一般原则:只允许响应更紧迫的中断事件,中断嵌套的层数大多不会超过一个值(中断优先级别个数)
- 实现方法:中断响应后立即屏蔽不高于当前中断优先级的中断源。
系统栈
[!note]
系统栈:系统区,位置由硬件确定,保存中断现场信息
对于嵌套中断,现场恢复的次序和保存次序相反,所以保存现场信息的数据结构是栈,由操作系统访问
- 系统栈保存的现场信息有中断装置保存的被中断程序的PSW和PC,还保存由中断处理程序保存的如通用寄存器的值等其它现场信息。
- 系统栈还传递操作系统子程序之间相互调用的参数,返回值和返回地址。
- 中断相当于是特殊的子程序调用,只不过它的发生时刻具有不确定性。
- 由于进一步保存现场信息是通过运行中断处理程序完成,程序运行时可以进行中断嵌套,为保证正确操作系统不允许在保存现场信息时响应中断
- 恢复现场信息也是由中断处理程序来完成,此时的工作也不允许响应中断
- 关中断:尽管产生了中断源且发出了中断请求,但CPU内部的PSW中的中断允许位被清除,此时不允许CPU响应任何中断,此现象为关中断。
中断优先级与中断屏蔽
中断优先级
中断优先级:根据引起中断的事件的重要性和紧迫程度,硬件将中断源分成若干个级别
硬件规定的中断响应次序,依据紧迫程度;处理时间。
只允许高优先级别中断可以嵌入低优先级中断
中断屏蔽
暂时禁止一个或多个中断源向处理机发出中断请求,屏蔽所有中断源就是关中断
硬件系统提供中断屏蔽指令,通过它可以暂时禁止中断源向处理机发送中断请求,同时还有解除屏蔽指令
高优先级中断事件处理不受低优先级中断打扰;
程序调整中断响应次序。
中断处理逻辑
中断分析
关于等待和剥夺
- 何时等待?处于核心态,无嵌套中断或有嵌套
- 等待剥夺几次?可能多次
- 保存在PCB的是什么级别现场?核心级别
- 等待或者剥夺时系统栈如何?栈底是目态现场,然后是嵌套函数的返回点,参数,局部变量,返回值;如有嵌套,接下来是核心现场,然后是嵌套函数的返回点、参数、局部变量、返回值;(可能有多重)

中断处理程序
I/O中断处理
正常结束:准备好数据后启动通道继续传输;唤醒相关等待进程。
传输错误:复执(eg. 3次);报告系统操作员。
时钟中断程序
Housekeeping
- 进程管理:重新计算进程调度参数(eg. 动态优先数)
- 作业管理:记录作业在输入井中等待的时间,以及当前的优先级别,以便作业调度
- 资源管理:动态统计运行进程占有和使用处理器等资源的时间
- 事件处理:在实时系统中定时向被控对象发送控制信号
系统维护:定时运行死锁检测程序和记账程序
实现软时钟:运用硬件间隔时钟和一个存储单元
- 硬时钟5ms发生一次中断,实现软时钟50ms,存储单元初值10,发生一次中断寄存器减1,直到寄存器为0
控制台中断程序
- 多个控制按钮对应多个中断向量
- 按下控制按钮产生中断信号,指向中断处理程序
硬件故障处理
- 电源故障处理
- 掉电:硬件设备应保持继续工作一段时间
- 内存,寄存器Þ外存,停止设备,停止处理机
- 恢复:故障排除后恢复系统现场
- 启动处理机,启动设备,外存Þ内存,寄存器
- 掉电:硬件设备应保持继续工作一段时间
- 内存故障处理
- 内存单元出现错误,中断处理对其进行检测并确认错误后划为不可用区域
程序性中断的处理
- 只能由操作系统处理的中断
- 影响系统或其它进程:越界,非法指令,(处理:终止进程、调试)
- 需要系统管理或协助:页故障,缺段,(处理:动态调入)
- 可以由用户自己处理的中断
- 不影响系统和其它进程:除0,溢出,(处理:用户处理,或OS处理)

用户程序自行处理中断
- 编译时:为每个用户程序生成一个中断续元表(用户态)
- 运行时:执行调试语句,填写中断续元表
- 中断时:根据中断原因查中断续元表
- 为0,用户未规定中断续元,由OS标准处理
- 非0,用户已规定中断续元,由用户处理
[!TIP]
步骤:
- (1)目态程序在运行时发生溢出中断
- (2)中断装置将PSW和PC值压入系统栈
- (3)取中断向量并送入PSW和PC寄存器
- (4)执行对应的操作系统中断处理程序
- (5)访问用户程序中的中断续元表(假定非0)
- (6)系统栈中现场转移到用户栈
- (7)中断续元运行环境和入口送PSW和PC
- (8)控制权转到中断续元,执行中断续元
- (9)由用户栈弹出现场送PSW和PC
- (10)返回断点继续执行
自愿性中断的处理
访管指令(SuperVisor Call)形式:
准备参数
SVC n
取返回值
系统调用(system call)形式:返回值=系统调用名称(实参1,…,实参n)
编译程序会将系统调用形式翻译为访管指令形式
处理器调度
[!note]
3.2.1 处理器调度算法:按什么原则分配
3.2.2 处理器调度时机:何时重新分配
3.2.3 处理器调度过程:如何完成分配
处理器调度算法
因素
考虑因素:CPU利用率 ; (max),吞吐量 ; (max),周转时间 ; (min),响应时间 ; (min),系统开销 ; (min)
调度参数

CPU burst vs. I/O burst
阵发期
CPU burst cycle: 进程(线程)一次连续使用CPU做计算
I/O burst cycle: 进程(线程)一次使用设备做I/O操作
进程运行行为
CPU调度:考虑处于CPU burst进程集合
下一个CPU burst的长度估算:
令τn是估计的第n个CPU阵发期的长度, tn的值是进程最近一次CPU阵发期长度,则有如下估算公式: τn+1=αt*n + (1-α)τn
参数α(0≤α≤1)控制tn和τn在公式中起的作用:当α=0时,τn+1=τn;当α=1时,τn+1=t*n。通常α取0.5
剥夺式调度与非剥夺式调度
剥夺式(preemptive)
就绪进程可以从运行进程手中抢占CPU
获得处理机的进程有3种:进程运行,直到结束; 等待 ;被抢先
非剥夺式(non-preemptive)
就绪进程不可从运行进程手中抢占CPU
获得处理机的进程有2种:进程运行,直到结束;等待
先到先服务算法
FCFS(First Come First Serve):按进程申请CPU(就绪)的次序

- 优点:“公平“
- 缺点:短作业等待时间长
短作业优先
SJF(Shortest Job First):按CPU burst长度先执行时间短的作业,默认为不可抢占
§Process Arrival time Burst time
§ P1 0 12
§ P2 0 5
§ P3 0 7
§ P4 0 3
Gantt Chart:

特点:
- 假定所有任务同时到达,平均等待时间最短,也可以退出平均周转时间最小
忽略了作业等待时间,长作业可能被饿死
例题:
§现有三个同时到达的作业J1,J2和J3,它们的执行时间分别为T1、T2和T3,且
T1<T2<T3,系统按照单道方式运行且采用短作业优先算法,则平均周转时间为(3T1+2T2+T3)/3
最短剩余时间优先算法(SRTN)
可剥夺SJF,选择剩余时间最短的进程或线程
§Process Arrival time Burst time
§ P1 0 12
§ P2 1 9
§ P3 3 6
§ P4 5 3
Gantt图:

- 例题:

最高响应比优先(HRN)
§Highest Response Ratio Next
RR=(BT+WT)/BT=1+WT/BTBT=burst time
WT=wait time
计算每个作业的响应比,选择响应比最高的作业优先投入运行,类似于动态的优先级调度
优点
- 同时到达任务, 短者优先
长作业随等待时间增加响应比增加
例题:§一个作业8:00到达系统,估计运行时间为1小时。若从10:00开始执行,则其响应比为_。
RR=(BT+WT)/BT=1+WT/BT=1+2/1=3
最高优先数算法(HPF)
用于实时系统
静态优先数(static)
在进程创建时分配,生存期内不变
简单,开销小
公平性差,可能会造成低优先数进程长期等待
适合批处理进程
动态优先数(dynamic)
进程创建时继承优先数,生存期内可以修改
- 获得资源优先数提高
- 就绪时随等待处理机时间增长而提高
资源利用率高,公平性好
开销大,实现复杂
最高优先数算法有非剥夺式和剥夺式数
- 非剥夺式:获得处理机的进程运行,直至终止或者等待
- 剥夺式数:获得处理机的进程运行,直至终止或者等待,出现高优先级的进程(新创建或被唤醒的进程)
例子:
§可抢占CPU
§Process Arrival time Priority Burst time
§P1 0 0 8
§P2 2 1 5
§P3 4 3 7
§P4 0 2 3
§P5 5 7 2
Gantt Chart:

例题:

循环轮转算法(RR)
系统为每个进程规定一个时间片,所有进程按照其时间片长短轮流的运行
适用于分时系统,利于多用户交互
基本的轮转
时间片(quantum,time slice)长度固定,不变
所有进程等速向前推进
改进轮转:时间片长度不定,可变
对于时间片长度:
几十毫秒~几百毫秒(eg. 50ms)
过长:响应速度慢
过短:系统开销(overhead)大
例子
§RR可抢占CPU调度:time slice=4ms
§Process Arriveral time Burst time
§P1 0 17
§P2 0 10
§P3 0 3
§ Gantt Chart:

例题

多级队列算法(MLQ)
多级队列
多个就绪队列,进程所属的队列固定
每个队列可以采用不同的调度算法
例如在通用系统中:
队列1:实时进程就绪队列(HPF)
队列2:分时进程就绪队列 (RR)
队列3:批处理进程就绪队列 (HPF)
当CPU空闲时
优先选择队列1中进程。如果队列1为空,则选择队列2中进程,否则选择队列3中进程
反馈排队算法
在多级队列的基础上,多个就绪队列,进程所属队列可变,并且越往上的队列优先级越高,但时间片越小

处理机度时机
- 运行进程结束
- 运行进程等待
- 处理器被剥夺
中断与处理器切换的关系
中断是处理器切换的必要条件,但不是充分条件
- 必然引起进程切换的中断:进程自愿结束,exit(),进程等待,进程强行终止
- 可能引起进程切换的中断:时钟,系统调用
处理机调度过程
进程切换:
中断处理后,需要进程切换则转入处理器分派程序dispatcher,选择上升进程运行
[!tip]
dispatcher
- 保存下降进程的现场:寄存器->PCB
- 选择上升进程:
- 按调度算法在就绪队列选择进程
- 为防止就绪队列为空,系统通常安排一个调度级别最低的进程,当系统中无其它进程时,运行“闲逛”进程
- 恢复上升进程的现场:PCB-> 寄存器(先恢复通用寄存器和地址寄存器,PSW和PC然后用一条指令恢复
调度级别与多级调度
交换与中级调度
调度层次
- 高级调度
- 中级调度
- 低级调度:处理器调度
术语
[!note]
交换(swapping):进程在内存和外存储器之间的调度
中级调度(mid-level scheduling):是系统控制并发程度的一个级别
并发度(degree of multi-programming):同时向前推进的进程个数
- 交换的目标:减少并发度,缓解内存空间
UNIX的中级调度
两个情况:
移入SRUN状态进程
如内存不够
移出SWAIT和SSTOP状态进程;
如还不够,移出SSLEEP和SRUN状态进程
条件
待移入进程在外存时间>=3秒
待移出进程在内存时间>=2秒
作业与高级调度
作业调度
作业调度:将一个作业由(磁盘的)输入井调入内存,并为其建立相应的进程PCB,使其具有运行的资格
批处理作业的处理结果:程序的执行结果;计帐信息
作业的状态
提交: 输入机向输入井传送
后备: 在输入井,尚未进入内存
执行: 分解为进程,在内存处理
完成: 处理完毕,结果在输出井
退出: 由输出井向打印机传送
状态转换:

作业控制块与作业表
JCB
JCB(Job Control Block):作业标识,所属用户,作业状态,调度参数,输入井地址,输出井地址,资源需求,进入时间,处理时间,完成时间
- SPOOling输入建立,作业调度使用,SPOOling输出撤销
批处理作业调度程序
批处理作业调度程序(1)
- 在后备作业集合中选择作业,并为其建立作业控制进程来处理该作业。

- 其中为作业建立控制进程:

批处理作业调度程序(2)

实时调度
[!note]
实时任务:具有明确时间约束的计算任务,即明确开始结束
实时调度:合理安排就绪实时任务的执行次序,满足每个实时任务时间约束条件的调度
实时任务的分类
硬实时和软实时(对应于实时操作系统)
硬:必须满足任务截止期要求
软:期望满足截止期
周期性和随机性
周期:固定时间发生
随机:发生时刻不确定
周期性实时事务
- 可调度的必要条件:处理时间小于等于发生周期
- 多个进程时,所有进程处理时间和发生周期的比值和小于等于1

非周期实时任务
[!tip]
若实时任务到达服从参数为λ的泊松分布时,当1/λ值很小,小于等于一个阈值,则可以将其视为周期性实时任务调度,任务的平均到达时间间隔为1/λ——平均周期
最早截止期调度
EDF:
优先选择完成截止期最早的实时任务
对于新到达的任务,如果其完成截止期先于正在运行任务的完成截止期,则重新分派处理器,即剥夺
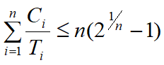
可调度条件:
,C处理时间,T发生周期
速率单调调度
RMS:
面向周期性实时事务,非剥夺式
优先调度发生周期最短(频度最高)的实时任务
可调度条件:

例题:

最小裕度优先调度
类似最早截止期优先,优先级基于一个进程的裕度
L=D-(T+C)L为裕度,T为当前时间,D为任务的截止期,C为剩余处理时间
最小裕度优先可调度的充分条件与最早截止期优先相同
多处理器调度
自调度
- 均衡调度
- 一个就绪队列,多处理机访问互斥
- 系统负载利用率高,但是程序亲和性小

组调度
将一组相关(合作)的线程同时分派到多个处理机上运行
避免合作线程之间的相互等待
降低开销,提高运行效率